Dublin Core
Title
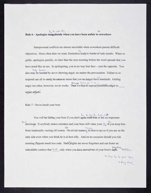
Widener University Commencement Address - "Rules For Graduates" (19 May 2001)
Subject
Speeches, addresses, etc.
Commencement ceremonies
Description
Handwritten and typed manuscripts
Creator
Watson, James D., 1928-
Widener University
Publisher
Cold Spring Harbor Laboratory Archives
Date
2001
Relation
Collection JDW: James D. Watson Collection (1870-2012)
Section JDW/2: Personal Papers (1895-2012)
Series JDW/2/8: Lectures, Speeches, Interviews (1953-2012)
Subseries JDW/2/8/1: Lectures (1953-2012)
Type
40
Identifier
JDW/2/8/1/342







































