Dublin Core
Title
Enclosure from Michael J. Hamlin to James D. Watson
Subject
Lane, David P.
Employment
University of Dundee
Description
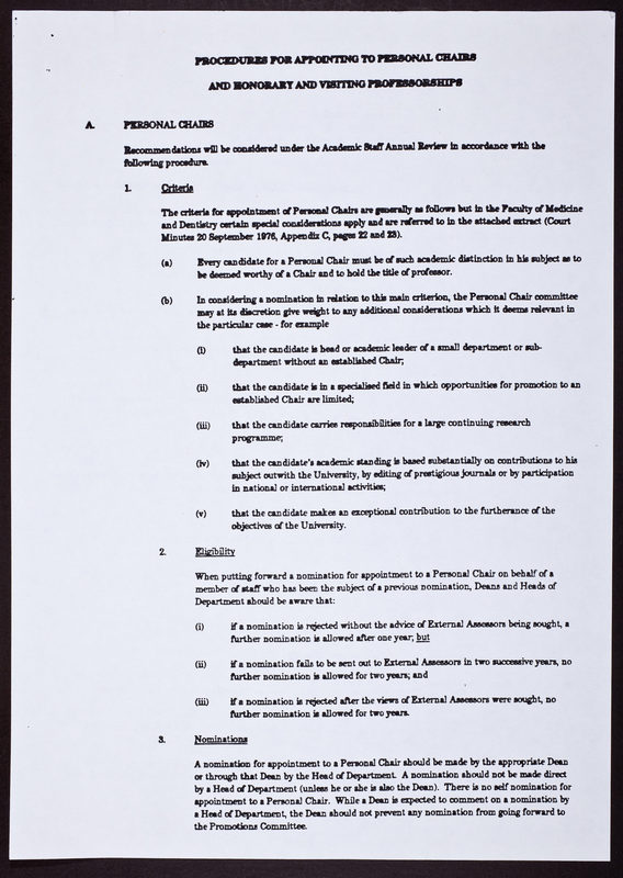
University of Dundee procedures for appointing to personal chairs and honorary and visiting professorships
Creator
Hamlin, Michael J.
Publisher
Cold Spring Harbor Laboratory Archives
Date
1989-11-28
Contributor
Watson, James D., 1928-
Relation
Collection JDW: James D. Watson Collection (1895-2011)
Section JDW/2: Personal Papers (1895-2011)
Series JDW/2/2: Correspondence (1908-2011)
Item JDW/2/2/1041: Lane, David P. (1989-1990)
Type
2
Identifier
JDW/2/2/1041/2

